Hovercraft
Hovercraft
| Koordynator | jkramarz |
| Status | Skończone |
Nighthack - 25.10.2013
Version 5 (planned)
- Redisign of hull
- Use only one fan
- power : 1x Li-Pol (2200 mAh)
- lifting capacity : unknown (not build yet)
[PL]
Znana jest przybliżona masa modelu oraz powierzchnia jaką naciska na podłoże dzięki czemu można wyliczyć wstępnie wymaganą siłę aby unieść poduszkowiec.
Masa modelu:
Powierzchnia nacisku na podłoże:
Siła grawitacji:
Aby unieść model należy wytworzyć ciśnienie przeciwdziałające sile grawitacji.
Na potrzeby projektu poduszkowca zostały przetestowane dostępne w Hackerspace wentylatory na specjalnie przygotowanym stanowisku badawczym.
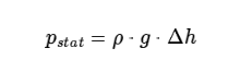
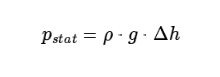
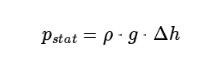
Na stanowisku mierzono przy pomocy Ururek wartości różnicy słupa wody która wynikała z nadciśnienia wytwarzanego przez wentylator. Po koniecznych obliczeniach została wyznaczona wartość ciśnienia statycznego.
| Rodzaj wentylatora | Układ wentylatorów | Napięcie [V] | Δh[m] | Pstat[Pa] |
| Osiowy | pojedynczy | 12 | 0.00545 | 54 |
| Osiowy | pojedynczy | 24 | 0.01265 | 124 |
| Osiowy | podwójny | 12 | 0.0076 | 75 |
| Osiowy | podwójny | 24 | 0.0111 | 109 |
Obliczenia ciśnień statycznych(zebrane w powyższej tabeli)
gdzie:
Po wykonaniu obliczeń został widać że dla wytworzenia poduszki powietrznej wystarcza już samo ciśnienie statyczne pojedynczego wentylatora przy zwiększonej wartości napięcia. Wynik przedstawia filmik poniżej.
https://youtube.com/watch?v=B3_Bx-HMUMM
Jak widać na przedstawionym filmie model kręci się w kółko. Przyczyną jest siła bezwładności wentylatora oraz zawirowane powietrze dostające się pod model. Wprowadzono modyfikację w modelu aby temu zapobiec poprzez zastosowanie kierownicy strugi.
Najbliższe plany obejmują dokładniejsze przetestowanie wentylatorów i wyznaczenie ich parametrów. Projekt sukni i jej testy. Powiększenie modelu aby zrobić miejsce na elektronikę oraz napęd.
NightHack #12
Version 4
- hull: foamed polystyrene board, 100x50x10cm, rounded
- skirt: enclosed bag skirt made of thick foil and duct tape
- power: 2x 12V 7Ah (dead...) gel acid batteries
- propulsion: separate electric motor with 2 blade propeller (not really effective)
- lifting capacity: 5kg (including batteries...)
{{http://i1.wp.com/hackerspace-krk.pl/wp-content/uploads/2013/08/hovercraft_4.jpg?resize=350%2C350}}
NightHack #11
Version 3
- lift fan: automotive radiator fan, 20 cm radius
- hull: random polystyrene box
http://youtube.com/watch?v=ej3_GIgCJKM
Version 2
- add another lift fan using another pizza box
http://youtube.com/watch?v=jOJwNnlC3Dw
Version 1
- proof-of-concept
- hull: made out of pizza box
- lift fan: taken from PS3 slim
- propulsion: none
- skirt: single strip of thick foil
- externaly powered
- Last Author
- wiktor
- Last Edited
- Feb 24 2024, 9:05 PM










